您好,欢迎访问我们网站,我们为您提供专职注塑模具设计服务!

模具2D设计

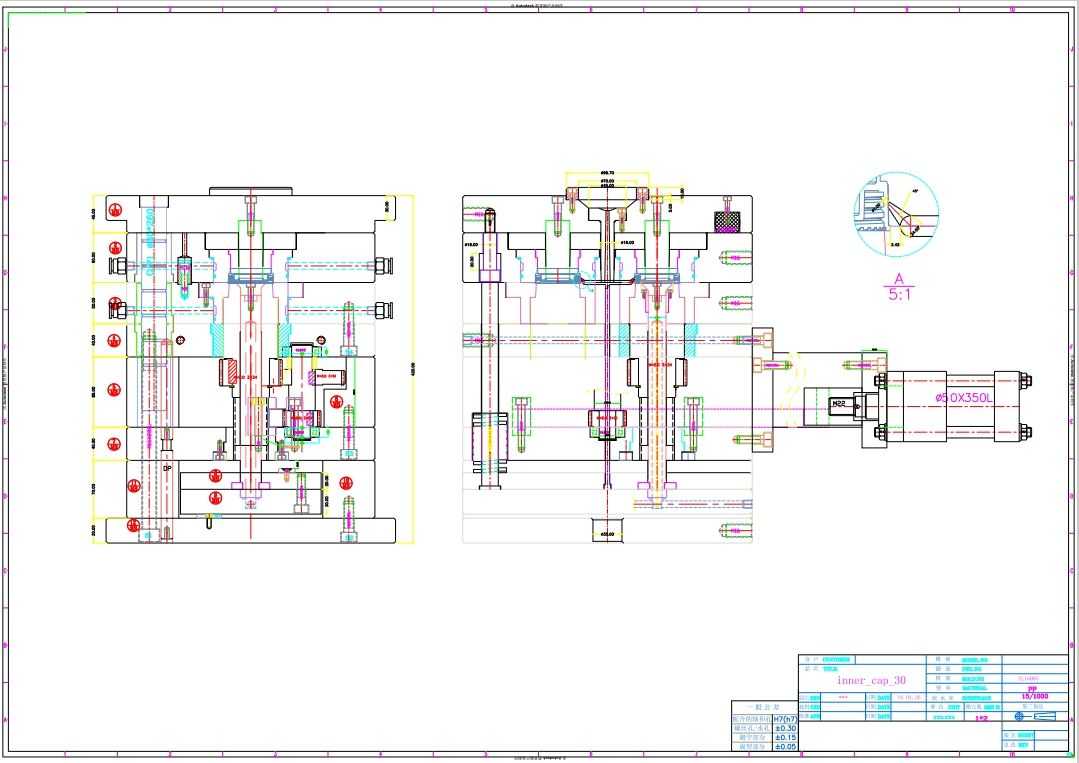
  • 1.模具组立图平面图
  • 2.模具组立图侧视图
  • 1.模具组立图平面图
  • 2.模具组立图侧视图

油缸齿条自动脱内螺纹模具2D组立图设计案例-苏州昆山模具2D设计

📝 发布(编辑):中正通设计团队 📅 发布日期:2026-01-02
微信扫码咨询 扫码联系(点击放大)
案例介绍

本页面展示油缸齿条自动脱内螺纹注塑模具的2D组立图完整设计案例。该模具采用先进的油缸齿条传动机构,实现内螺纹产品的自动化脱模,提升生产效率和产品一致性,满足高精度螺纹产品的高效稳定制造需求。

技术亮点

  • 创新脱模机制:油缸驱动齿条传动,确保内螺纹脱模平稳可靠、无卡顿
  • 精密结构设计:优化模具组立结构,保证长期连续运行稳定性
  • 国际标准适配:采用HASCO/DME标准,模具配件全球通用、易维护
  • 标准2D工程图:完整展示模具平面图+侧视图,直接指导加工与装配

设计图纸展示

油缸齿条自动脱内螺纹模具组立图平面图

模具组立图平面图

展示油缸齿条自动脱内螺纹模具平面布局,包含模架结构、油缸齿条系统、冷却系统、顶出系统等关键结构。

油缸齿条自动脱内螺纹模具组立图侧视图

模具组立图侧视图

清晰呈现油缸驱动机构、齿条传动系统、脱螺纹机构、推板顶出系统的装配关系与运动原理。

模具结构特点

结构编号 结构名称 功能描述
1 冷流道潜水进胶 产品表面无浇口痕迹,提升外观质量与成型稳定性
2 油缸齿条自动脱螺纹 油缸驱动齿条传动,全自动完成内螺纹脱模
3 推板顶出系统 平稳顶出产品,避免变形、拉伤,保证产品精度
4 精密冷却系统 均匀冷却,缩短成型周期,提升生产效率

技术优势

自动化脱螺纹

油缸齿条传动,全自动脱模,无需人工取件,大幅提升生产效率。

高精度设计

专业2D组立图设计,尺寸精准、公差清晰,满足高精度螺纹产品生产。

标准化配件

采用HASCO/DME国际标准,配件通用、维护便捷、全球适配。

技术服务支持

我们提供完整的模具2D设计技术文档包:模具2D组立图、零件加工图、BOM清单、装配说明书、加工工艺指导,全流程支持模具制造与装配。

苏州中正通模具设计团队,10年专注模具2D设计、油缸齿条模具、自动脱螺纹模具设计,为您提供专业、高效、精准的模具设计解决方案。

如需定制设计、图纸优化或技术咨询,欢迎联系我们,我们将第一时间为您提供方案报价与技术支持!

在线留言
电话联络

电话联络

苏州出口模具设计外包服务电话联络
微信咨询
苏州模具设计微信咨询服务,专职设计工程师在线解答
返回顶部