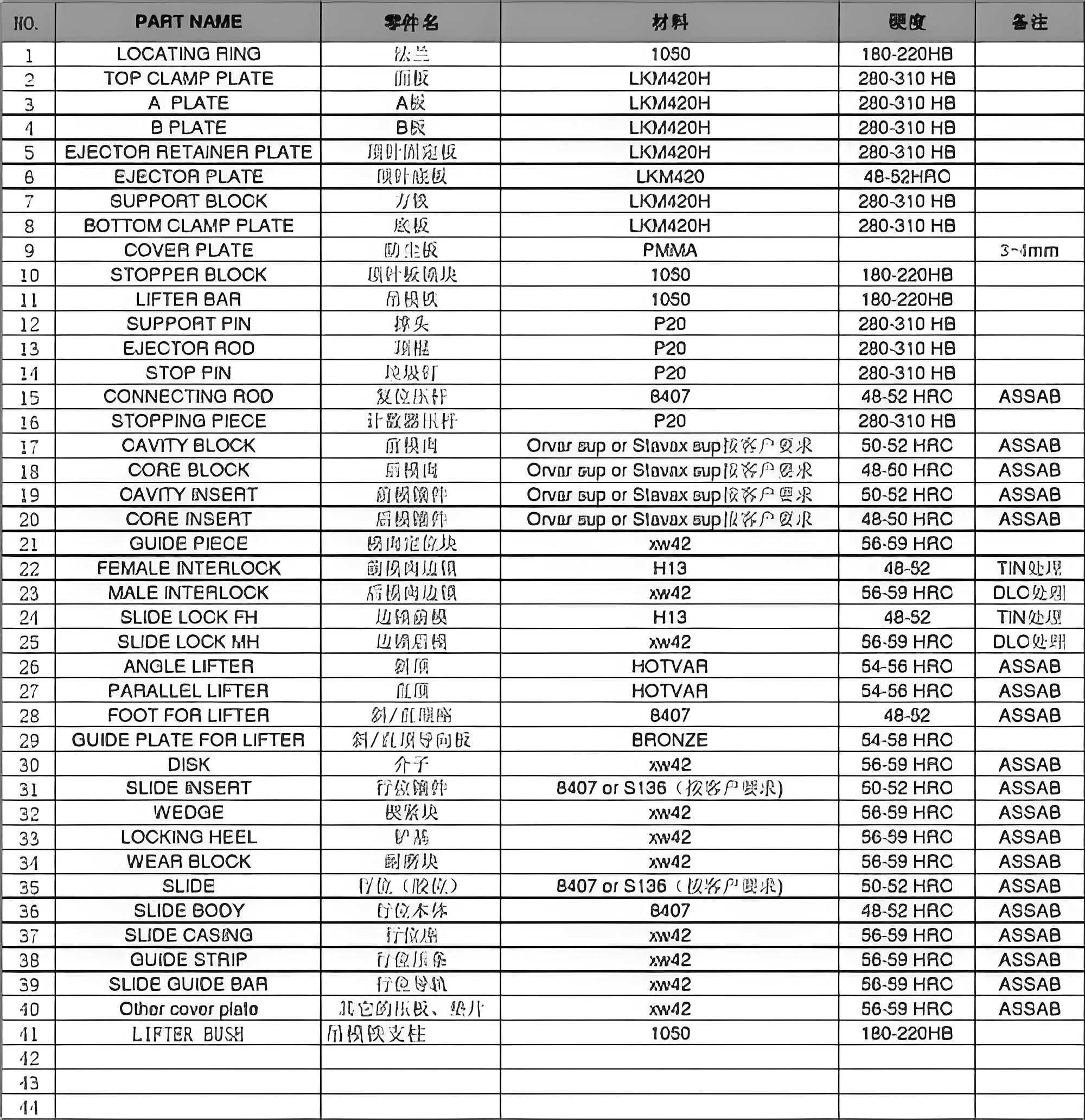
注塑模具的物料清单(BOM,Bill of Materials for Injection Mold)是详细列出制造注塑模具所需的所有物料、组件、零部件及其数量的清单。这个清单对于确保模具制造的准确性和效率至关重要,它涵盖了从模具设计到最终生产所需的所有材料。

注塑模具的物料清单通常包括以下内容:
1. **模具钢材料**:这是模具的主要组成部分,用于制造模具的型腔、型芯等关键部分。模具钢的选择取决于产品的材料、尺寸、形状以及所需的寿命和性能。
2. **标准件和紧固件**:如螺丝、螺母、销钉等,用于连接和固定模具的各个部分。
3. **模具配件**:如导柱、导套、顶针、复位杆等,用于模具的开闭、定位和脱模。
4. **冷却系统组件**:如水管、接头、冷却通道等,用于控制模具温度,确保注塑产品的质量和生产效率。
5. **加热元件**:如加热棒、加热圈等,用于预热模具,确保注塑材料在模具中的流动性。
6. **润滑剂和脱模剂**:用于模具的润滑和脱模,以减少磨损和保证产品质量。
7. **其他辅助材料**:如密封件、垫片等,用于确保模具的密封性和稳定性。
制作注塑模具的物料清单时,需要遵循以下步骤:
1. **模具设计分析**:根据产品的设计要求和注塑工艺,分析模具的结构和所需物料。
2. **列出物料清单**:根据分析结果,详细列出所需物料及其数量、规格和型号。
3. **审核和确认**:与相关部门和供应商进行沟通和确认,确保物料清单的准确性和可行性。
4. **采购和生产**:根据物料清单进行采购和生产,确保模具制造的顺利进行。
5. **更新和维护**:在模具制造过程中,根据实际情况对物料清单进行更新和维护,确保其与模具制造的实际情况相符。
总之,注塑模具的物料清单是模具制造过程中的重要文件,它确保了模具制造的准确性和效率,为模具的顺利生产提供了有力保障。